Today, we exclusively reveal the most recent proposal made to GTR by the RMT. This “six-month accessibility guarantee” represents a major compromise; where the drivers’ control of the doors is accepted, and an offer is made to finally recognise the OBS role.
Most significantly of all from passengers’ perspective, the RMT’s offer asks the company for a commitment to the same levels of accessibility that were guaranteed as of 21st August 2016. That is to say, it seeks to stop the growing frequency of unstaffed trains running to unstaffed/rural stations; which leave disabled and older people unable to spontaneously travel with the confidence they used to prior to August 2016. It is enormously significant that the number of unstaffed trains is now admitted by Southern to be 2.75% – already a significant shift from the 0.06% that Southern Rail originally claimed in a letter to MPs last year.
The logic, taken to its conclusion, is that this offer represents an attempt to ‘freeze’ Southern Rail at the level of access it provided previous to August 2016. It is hard to understand GTR’s refusal in any other way than it is happy for guarantees regarding accessibility prior to August 2016 to be removed; and that it is happy for its services to become less accessible. When one considers the latest offer made to Aslef alongside this (which contained the weakest solution yet for accessibility), it is hard to avoid the conclusion that Southern Rail are shifting the goalposts still further on disabled access.
Once again, it seems that the loophole that GTR (or whoever is deciding this dispute) is intent on keeping has the purpose of breaking the RMT, and that this is being done quite consciously at the expense of accessibility. Those in doubt may wish to ask the Rail Delivery Group their thoughts on this issue, especially in light of the 2-year buried report on access we leaked on this blog two weeks ago – a report that strongly argues for keeping the conductor guaranteed on trains outside the metro area.
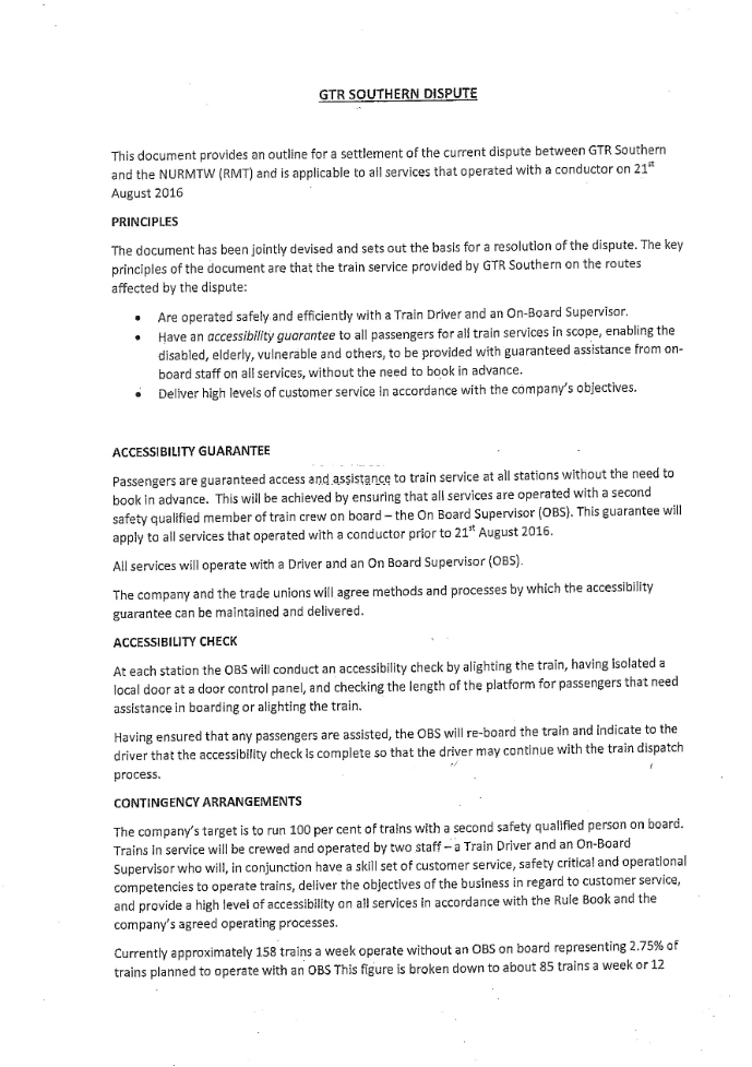
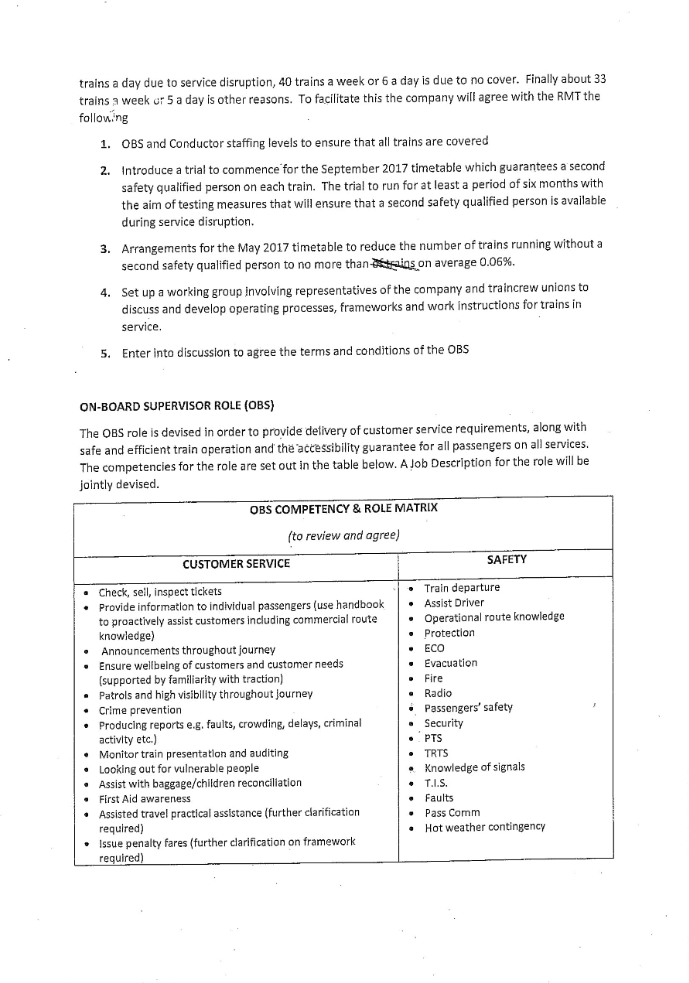
The following document was circulated on Tuesday 4th July during a meeting between the RMT and MPs in the House of Commons. Those who watched the Gibb Report debate later the same day may remember certain MPs arguing that 2.75% of unstaffed trains running to unstaffed stations was, in their view, acceptable. It is now clear that this figure must have come from their morning meeting where the following document was shared. We object strongly to the normalisation of this “provision, criterion or practice”, which represents a clear breach of the Equality Act according to the Rail Delivery Group’s own leaked report!
The following offer was, to the best of our understanding, made to GTR in late April, and immediately refused. Anyone following this situation in depth will see what a reasonable attempt is made here to find a resolution. If such a compromise as a “six month accessibility guarantee” was trialled, we could finally see this dispute come to an end.


Approximately 3 years ago discussions were taking place between the Conductor Company Council and management, particularly the Safety Section, of Northern Rail on how to bring the Conductor Role into the 21C to the benefit of the passengers (who use the service), the company (who “operate” the service) and the Conductors (who actually make it all work.) The benefits to the company were all related to productivity and to the passenger it guaranteed a safe and pleasant journey. For the Conductor it better defined their role and what was expected of them but it offered them security of employment at the expense of increasing their Customer Service skills but it maintained their SAFETY ROLE
Surely this should be what all sides want:
A. Safe journey
B. Better travel experience for passenger
C. Better public opinion of the TOC
The changes/improvements to the Guards Role we were discussing and beginning to formalise must be the way to resolve the disputes with Southern, Northern and Merseyrail and would be in everyone’s best interests or is profit more important than good customer service and safety? I fear it is…
John Smith-Warren ex CCC rep with Northern Rail – retired.
LikeLike