Skip to content
Menu
Home
About Us
About Us
Take Action
Contact
Facebook
WordPress.com
Previous Image
Next Image
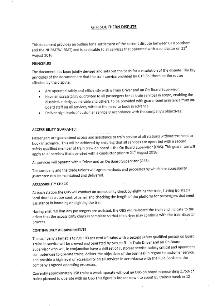
RMT offer to GTR page 1
Leave a Reply
Cancel reply
Δ
Post navigation
Published in
RMT offer to GTR page 1
Comment
Subscribe
Subscribed
abcommuters.com
Join 49 other subscribers
Sign me up
Already have a WordPress.com account?
Log in now.
abcommuters.com
Subscribe
Subscribed
Sign up
Log in
Copy shortlink
Report this content
View post in Reader
Manage subscriptions
Collapse this bar